让我们从问一个简单的问题开始:
为什么太阳会发光?
图片来自维基共享资源
前几天,我7岁的侄子问我为什么太阳是黄色的。我笑着告诉他这是一个很好的问题。科学的迷人之处在于,简单的问题往往是通往自然界一些最深刻和最基本真理的门户。
在回答我侄子的问题之前,我们首先需要了解太阳为什么会发光。这个听起来简单的问题其实是相当棘手,它涉及到的难题最终开创了一个全新的物理学分支,即量子力学。
紫外线灾难
在 1800 年代后期,科学家们对他们所取得的成就感到非常满意,他们了解宇宙中的大部分事物,从电学和磁学到光学和力学。此时,他们已经发现了X 射线、电子、放射性以及解释上述所有现象的一系列普遍规律。许多科学家大胆地宣称:
世界没有什么留给科学发现,也没有什么留给科学家做!
众所周知,那个年代科学即将进入最奇怪、最超现实的理论,但只有一件事是清楚的,即没有人理解任何东西。
在世纪之交,物理学家知道所有物质都会发光。这被称为黑体辐射。当你加热材料时,辐射的亮度也会增加。例如,您的身体约为 310K(K为开尔文),它发出红外光,但喷灯的燃烧温度超过 2000K,因此达到可见光谱,使我们能够看到它。
但是为什么东西会这样发光呢?
当一种材料的温度高于绝对零值时,构成它的粒子会抖动,加速的电荷会产生电磁辐射,即光。因为我们周围的所有事物都是由电子和质子等带电粒子构成的,所以事物会因自身的内部光而发光。
材料越热,粒子抖动越快,因此光子(光粒子)的平均频率随温度升高而增加。这就是太阳发光的原因。
而它之所以是黄色的,是因为它的表面温度在6000K左右。阳光实际上是白色的,但对我们来说看起来是黄色、橙色或红色,这取决于它需要穿过多少地球大气层,但这是一个很长(但很有趣)的故事。
以同样的方式,一些非常热的恒星发出蓝光,因为发出的光的平均波长在蓝色光谱中。
当科学家们绘制出不同物体发出的光的频率或波长与物体亮度的关系时,他们得到了一条看起来很有趣的曲线,物理学家开始沉迷于试图用数学来描述它。
图片来自维基共享资源
20 世纪初,两位物理学家金斯和瑞利试图对此进行描述。他们假设构成物体的粒子以所有可能的方式摇晃,这就是热能和辐射的真实本质。
该能量在所有能量状态之间平均分布。这被称为均分定理,在数学上它指出:
其中k是常数,T是温度,c是光速,f是光的频率。
对于低频红外光,这个模型效果很好!但对于可见光,尤其是紫外线,它预测的亮度太大了。事实上,这个模型预测光的强度应该接近无穷大,因为光的频率也趋于无穷大。
下图您将看到瑞利-金斯定律与测量之间的差异。
图片来自维基共享资源
这也被称为紫外线灾难。
量子力学的诞生
解决方案来自一位名叫马克斯·卡尔·恩斯特·路德维希·普朗克的天才。
普朗克意识到 瑞利-金斯 定律的问题在于它允许能量取任何值,无论多么小,因此他尝试了与 瑞利 和 金斯相同的计算,但限制了能量的最小量,他称之为能量的量子。
他解决这个问题的方法是引入一个常数h,使得最小可能的光能包由E = hf给出,其中f是光的频率。
通过这样做,能量总是这个最小量的整数倍,所以他只需要将hf + 2hf + 3hf + ??? 加起来。数字h在当时是一个未知数,但显然必须有 Js(焦耳秒)的单位。它现在被称为普朗克常数。
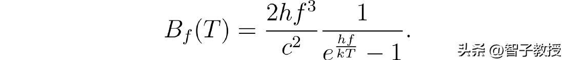
尘埃落定后,普朗克有了一个数学公式,可以完美地描述所有光频率下的黑体光谱。它现在被称为普朗克定律。
如果你还记得的话,我们可以找到关于第二个因子为0的洛朗级数,因为
对于 x的低值,我们可以通过1/x近似此函数。当我们在普朗克定律的表达式中这样做时,我们就恢复了瑞利-金斯定律。
这种数学描述还意味着物理学家实际上可以测量普朗克常数,因为人们可以简单地测量物体的亮度并将h替换为最符合观测值的值。当他们这样做时,他们发现它大约是6.626 × 10^(-34) m2 kg / s,这是一个小得离谱的数字。
尽管普朗克让计算成功了,但他不知道它们为什么会成功。第一个回答这个问题的人不是别人,正是爱因斯坦。
爱因斯坦意识到,能量之所以以离散的能量块形式出现,是因为粒子只能通过一次吸收或发射一个光子(光粒子)来获得或失去能量,而这些光子的能量与其频率成正比。
爱因斯坦因这一发现而获得诺贝尔奖,这种关于光和能量的量子理论在 20 年代开始了一场科学革命,科学家们对现实的真相越来越困惑。
所以我们之所以看到阳光是黄色的,是因为普朗克常数!我无法将这一切告诉我的侄子,但它启发了我写这篇文章,这样当你被同事或朋友问到这个问题时,你可以自信地回答他。
所以普朗克常数在我们的宏观世界中是可以测量的。但它确实是在说,在最小的尺度上,现实是像素化的。从海森堡测不准原理到薛定谔方程,普朗克常数在量子物理方程中随处可见,它是量子力学中最重要、最基础的数。
除了Js之外,还有其他普朗克单位。例如,普朗克长度的概念是宇宙中最小的距离。谈论比这短的长度根本没有任何意义。普朗克长度和普朗克时间是假设的物理量,但许多理论物理学家认为这是真实存在的——自然的真实组成部分。
推导普朗克长度
让我们看看是否可以计算出 普朗克长度的可能值。
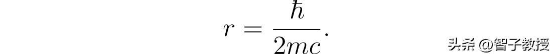
海森堡不确定性原理指出,对于在矩Δρ上具有不确定性(偏差)且在位置上具有不确定性Δx的粒子,我们有Δρ Δx ≥ ?/2其中 ? 是约化的普朗克常数,即? = h/2π。
如果我们在两边都乘以光速c ,我们可以写成ΔE Δx ≥ ?c/2,其中ΔE是能量的不确定性。通过使用爱因斯坦的狭义相对论用mc2代替能量,除以两边的能量,并通过使表达式相等来设置最小距离,我们得到
当我们喝一口咖啡并继续前进时,让我们将这个结果保存在我们的 RAM 中。
回想一下牛顿的万有引力定律:
其中M和m是所讨论的两个物体的质量,r是它们之间的距离。
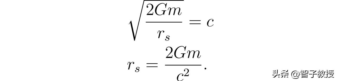
想象两个质量分别为m和M的物体,它们的质心之间的距离为r。我们可以问,将质量为m的物体推离另一个物体需要做多少功。由于引力的作用范围是无限的,我们可以通过以下积分来做到这一点:
将其设置为等于动能的经典公式并求解v,产生称为逃逸速度的速度。这是“逃离” M引力所需的速度。
如果我们将逃逸速度设置为c并求解距离r会怎样?在那种情况下,我们创造了一个黑洞!然后我们得到最终的逃逸速度。我们交换符号 M 和 m wlog,我们得到
这个距离称为史瓦西半径。
现在回想上面导出的不确定性结果的最小化:r = ? /(2mc)。如果我们通过分别乘以方程的两侧并求解r来合并两个结果,我们得到
这就是普朗克长度。黑洞形成的长度和事物变得固有的不确定性。
如果普朗克长度确实是长度概念有意义的最小尺度,那么空间本身就是最低水平的像素化。这是否支持模拟假设?
我们不得而知,但有一件事是肯定的,普朗克常数会一直存在。所以我们最好找到一种方法将它纳入广义相对论。
生意营销3大宝:彩铃、定位、认证,一个也不能少,如有需要,添加 微信:xnc528 备注:3
如若转载,请注明出处:https://www.clzz8.com/29862.html
